ENEM 2020 | #PensinaAprovação: Matemática
No post do nosso especial #PensinaAprovação de hoje, trouxemos o conteúdo e as dicas referentes à disciplina Matemática. Nossa equipe de professores experts preparou uma série de vídeos para que você consiga mandar muito bem e alcançar os melhores resultados. Se quiser preparar aquela pipoca para lanchar enquanto estuda, é uma ótima pedida. Ah! Lembre-se: você pode acessar todos os outros conteúdos do especial #PensinaAprovação, é só clicar no link do seu interesse abaixo.
#PensinaAprovação – Especial Redação
#PensinaAprovação – Especial História
#PensinaAprovação – Especial Geografia
#PensinaAprovação – Especial Filosofia
#PensinaAprovação – Especial Sociologia
#PensinaAprovação – Especial Biologia
#PensinaAprovação – Especial Química
#PensinaAprovação – Especial Física
Vamos às dicas dos conteúdos mais cobrados em Matemática? Então continue lendo 😉
1. Dica da professora Ana Eliza – Visualização
2. Dica do professor Yuri Politano – Razões e proporções
3. Dica do professor Anderson Machado – Arranjo e combinação
4. Dica do professor Eduardo Avellar – Porcentagem
5. Dica da professora Fernanda Erculano – Função
6. Dica do professor Sérgio Gomes – Equação da Circunferência

Ultimamente os conceitos básicos de geometria analítica são bastante recorrentes nas provas do ENEM e o enfoque costuma ser no conceito de ponto, reta e circunferência.
Os problemas que envolvem o conceito de equação da circunferência são normalmente os problemas que apresentam os maiores níveis de dificuldades para os candidatos.
Então, vamos recordar!?
A geometria analítica fornece uma ferramenta algébrica (analítica) para o estudo de informações geométricas.
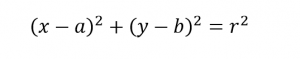
Uma circunferência é formada por um conjunto de pontos que apresentam uma distância fixa (raio) em relação a um centro definido. Quando a mesma está locada no plano cartesiano podemos facilmente verificar a equação da circunferência.
Vamos lá!
Agora, genericamente, considerando C (a,b) o centro, r o raio e P (x,y) um ponto da circunferência, temos:

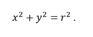
OBS.: No caso particular de o centro da circunferência estar na origem, ou seja, a=b=0, a equação da circunferência é :

Ao desenvolvermos a equação da circunferência obtemos o que denominamos de equação geral da circunferência abaixo:

Obtemos o que denominamos de equação geral da circunferência:

E aí? Anotou tudo? Em 2021 queremos ver você se tornando um universitário e vamos com tudo te ajudar a alcançar esse sonho!
Escrito por:
Agência Titânio
